הכנסות עצמיות של רשות מקומית הן הבסיס ליכולתה לספק שירותים מעבר לרמה הבסיסית הניתנת ברשויות בעלות הכנסה עצמית נמוכה (פחות מ-1,500 ש"ח לתושב).
במסגרת המחקר שאני עושה בכדי להבין את ההשפעה של ההכנסות העצמיות של הרשויות המקומיות על השירותים השונים שהן מספקות, ביצעתי ניתוח אשר בוחן כיצד משפיעה הכנסה עצמית על ההוצאות שניתן על שירותים עירוניים – שירותים שעיקר מקורות ההכנסה שלהם הם הכנסות עצמיות או הכנסות לא ייעודיות (כולל מענקי מדינה שאינם צבועים). המחקר נועד לזהות כיצד בא לידי ביטוי עושר מוניציפלי בהוצאות הרשויות עירוניות קרי, מועצות מקומיות ועיריות (201 רשויות), והשפעת העושר המוניציפלי על יעילות הרשויות. הסיבה שבחרתי להתמקד במועצות מקומיות ועיריות נובעת מכך שמבנה ההוצאות שלהן דומה, בניגוד למועצות אזוריות להן יש תקציב במבנה אחר וכן תקציב דו רובדי שאינו זמין (תקציב הוועדים המקומיים, אשר ברשויות רבות עובר את 10% מתקציב המועצה).
השלב הראשון של הניתוח הכלל מיפוי של שירותים עירוניים מובהקים שאינם שירותים ייחודיים לרשויות מסוימות – זיהיתי איזה שירותים מופעלים ללא תמיכות ממשלתיות מעל ל-10% מסך סל השירותים וכן אילו שירותים מתקיימים ברשויות רבות מספיק בשביל לומר שזהו שירות עירוני בסיסי.
את שלב הסינון אני לא אכלול פה, אבל אציין ששירותי חינוך ורווחה לא נכללו בניתוח, כמו גם שירותים הנוגעים לאספקת מים וביוב (שברשויות רבות הן תחת תאגיד) וכן שירותים אזוטריים כגון חשמל, בתי מטבחיים או קטגוריות הוצאה שאינן מתייחסות לשירות (החזר מלוות והוצאות מימון).
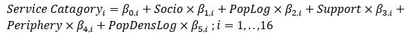
בכדי להעריך את ההשפעה של ההכנסות העצמיות נדרש להוכיח שהיא משפיעה מעבר להשפעתם של גורמים אחרים. לשם כך יש צורך להגדיר משתני בקרה שיכולים להשפיע על מבנה ההוצאות של הרשות. משתני הבקרה הקלאסיים הם המדד הסוציואקונומי של תושבי הרשות, לוג מספר התושבים (שימוש בלוג תושבים הוא פרקטיקה מקובלת), מדד הפריפריאליות, לוג צפיפות האוכלוסייה בשטח הבנוי וכן האם הרשות נתמכת או לא (משתנה דמי "נתמכת/לא נתמכת").
הבדיקה הראשונה שצריך לבצע בכל ניתוח סטטיסטי היא בדיקת קורלציה בין המשתנים הבלתי תלויים. הבדיקה הזאת אמרה משהו שכולם מכירים – מדד הפריפריאליות נמצא בקורלציה לא רעה (0.5~) עם גודל האוכלוסייה, המדד הסוציואקונומי, צפיפות האוכלוסייה והיותה של הרשות נתמכת. מקדמי הקורלציה מעידים שככל שרשות יותר פריפריאלית, כך המדד הסוציואקונומי שלה יורד, האוכלוסייה יותר קטנה ופחות צפופה וכן יש יותר סיכוי שהיא תהיה נתמכת – תוצאה אחת לאחת עם המציאות – ככל שמתרחקים מהמרכז, כך קטן מספר התושבים ברשויות, מבנה המגורים בהן פחות צפוף, תושביהן יותר עניים והרשויות יותר נתמכות. התוצאה הזאת מצביעה שייתכן וניתן לוותר על מדד הפריפריאליות בהמשך.

אחרי בדיקת קורלציה ביצעתי מספר רגרסיות לינאריות (גם אם משתני ה-LOG אינם לינאריים, הרגרסיה עצמה מניחה קשר לינארי בין המשתנים הב"ת למשתנה התלוי).

הרגרסיות שביצעתי מצביעות על כך שכל שירות מושפע באופן שונה ממשתני הבקרה. אם זאת ישנן מספר מסקנות מעניינות:
- ההשפעה של צפיפות האוכלוסייה לא מובהקת בפחות מ-5% עבור אף אחד מהמשתנים התלויים (אפילו תברואה שבדרך כלל עלולה להיתפס כשירות המושפע מצפיפות)
- ההוצאה לתושב על שירותי בריאות, נכסים, פיתוח כלכלי, חגיגות ואירועים (לא תרבות) ואיכות הסביבה ניתנת להסברה על ידי המדד הסוציואקונומי בלבד, אבל ערכו של R2 המתוקן מעיד שמדובר על השפעה מינורית.
הערה: בהמשך הרשומה אתייחס לשירותים האלה באופן יותר ממוקד. לצורך הדיון נקרא להם "שירותים פחות נפוצים". - המדד הסוציואקונומי הוא הפרמטר אשר משפיע באופן מובהק על מרבית השירותים (13 מתוך 16), אחריו LOG גודל האוכלוסייה (9 מתוך 16) ולבסוף משתנה הדמי נתמכת/לא נתמכת (5 מתוך 16).
הערה: כאשר בוחנים את LOG של משהו ברגרסיה, אנחנו בפועל בודקים את ההשפעה של שינוי באחוזים של הגודל ולא את השינוי בגודל האבסולוטי

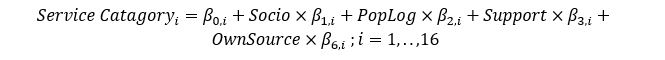
בהתבסס על התוצאות הראשוניות החלטתי לעבור לשלב הבא בו אני משלב את ההכנסות העצמיות עם מספר מצומצם יותר של משתני בקרה (מודל יותר רזה) ולכן ויתרתי על משתנה הבקרה של צפיפות האוכלוסייה ומדד הפריפריאליות.

הרגרסיות שבוצעו במודל המעודכן הציגו מספר תוצאות מעניינות מאד:
- במרבית השירותים בהם נכלל המשתנה הבלתי תלוי של ההכנסה העצמית, הוא משפיע באופן מובהק מעבר להשפעה של משתני הבקרה, למעט שני שירותים: תכנון עיר ותחבורה.
- השירותים הפחות נפוצים ניתנים להסבר ע"י ההכנסות העצמיות לתושב ובחלקם השפעתו של המדד הסוציואקונומי הופכת ללא מובהקת. אם זאת, גם עבור הכנסות עצמיות לתושב מדובר על תוצאה בעלת תוקף מוגבל כי ערכו של R2 המתוקן נמוך (0.1-0.2)
- בשירותים נפוצים כגון הוצאות הנהלה, תברואה ונכסים ציבוריים השתפר החיזוי הלינארי – R2 המתוקן גדל מערך הנמוך מ-0.5 לערך הגבוה מ-0.5.
מה ניתן ללמוד מהרגרסיות שביצעתי על כל אחד מהשירותים:


- ההוצאה לתושב על שירותי הנהלה כללית קטנה ככל שהשינוי באחוזים של גודל אוכלוסייה גדל או ככל שהאוכלוסייה נעשית יותר עשירה (אם כי באופן פחות מובהק לעושר האוכלוסייה). בנוסף, ברשויות נתמכות שירות זה יהיה יותר יקר וככל שלרשות יש יותר הכנסות עצמיות לתושב כך עולה עלות השירות. המשמעות – ברשויות רשויות קטנות ועניות סביר שהשירות יהיה יותר יקר. הסיבה לכך ידועה – היות והרשויות נדרשות לממן בעלויות קבועות את שירותי ההנהלה הכללית (ראש הרשות, המנכ"ל וכו'), העלות לתושב גדלה ככל שהרשות יותר קטנה. אם זאת, התוצאה המעניינת היא ששירות זה מתייקר כאשר לרשות יש יותר כסף להעסיק עוד כ"א מעבר לתקנים הבסיסיים עליהם מחויבת הרשות.
הערה: יש לשים לב שהביטוי לגודל האוכלוסייה הוא LOG ולכן ההבדלים בעלויות בין רשות קטנה לגדולה משמעותיים יותר לעומת רשות גדולה ורשות גדולה מאד. - ההוצאה לתושב על שירותי ניהול כספי מתנהגת בדומה להוצאה לתושב על שירותי הנהלה כללית, למעט העובדה ששירות כזה אינו מושפע באופן מובהק מכך שהרשות נתמכת או לא. כמו כן, רמת ההוצאה הבסיסית של שירות זה נמוכה יותר (כפי שניתן לראות בערכו של המשתנה הקבוע.
המסקנות מסעיף 1 ו-2 מתיישבות היטב עם הטענה שיש לרשויות מקומיות חסרון לקוטן ושאיחוד רשויות יעיל עבור רשויות קטנות.
- עלויות שירותי תברואה מושפעות רק מאשכול סוציואקונומי והכנסות עצמיות לתושב – ככל שתושבי הרשות עשירים יותר, עלות התברואה גדולה יותר, ככל שהרשות עשירה יותר, כך היא מוציאה יותר על תברואה. יוצא שגודל האוכלוסייה אינו מובהק ויש לכך לפחות שני הסברים
- אם ניקח שתי רשויות דומות, האחת שעיקר השימושים בה הם מגורים (עיר שינה) והשנייה שבה יש שימושים רבים של תעסוקה ומסחר, ידוע שלרשות שיש יותר תעסוקה ומסחר יש יותר כסף, אך גם ההוצאה על התברואה בגלל אותם ייעודי תעסוקה ומסחר אשר מושכים לתוכה יותר מבקרים.
- אם ניקח את אותן שתי רשויות, הרשות שתושביה יותר עשירים ביקורתיים יותר כלפי מצבה הפיזי של הרשות ובגלל הרגישות המוגברת הזאת, הרשות משקיעה יותר כסף בתברואה.
- עלויות שירותים תחזוקה של נכסים ציבוריים מושפעות מכל המדדים, גדלות ככל שהרשות יותר עשירה או כאשר תושבי הרשות יותר עשירים, קטנות ככל שהרשות השינוי בגודל של הרשות יותר גדול או כאשר היא לא נתמכת. היות ושירותי תחזוקה של נכסים ציבוריים כוללים את טיפול הפיזי במרחב הציבורי של הרשות, די ברור שההוצאה על שירות זה תתנהג מול עושר התושבים כמו הוצאות התברואה. הקשר בין העלויות להכנסות דורש התעמקות – ככל שהרשות יותר עשירה היא מוציאה יותר על הנכסים (זה ברור), אבל מסתבר שרשויות נתמכות מוציאות יותר בהשוואה לרשויות עצמאיות. את זה אני מסביר בכך שההכנסות העצמיות של הרשויות הלא נתמכות יעילות יותר כי מדובר על הכנסות שהרשות "עבדה" יותר קשה להשיג, זאת בהשוואה לרשויות נתמכות שחלק מכספן הלא ייעודי מגיע ממענקי איזון ולכן הן פחות רגישות ליעילות שלו (תופעה מוכרת שכבר נבדקה במחקרים). הקשר האחרות בין שינוי בגודל הרשות להוצאה ניתן להסבר באופן פשוט יחסית – היות ומדובר על תחזוקה של נכסים פיזיים (הון) קבועים שאינם גדלים באופן לינארי עם הגידול באחוזים בגודל האוכלוסייה, סביר שככל שהגידול באחוזים של האוכלוסייה גדל, קצב הגידול בהוצאה על הנכסים הציבוריים יקטן פר תושב כי הגידול בהיקף הנכסים אינו גדל באותו קצב של גידול באחוזים של האוכלוסייה.
- תרבות – בהיעדר משתנה ההכנסות העצמיות, שירותי תרבות הושפעו ע"י המדד הסוציואקונומי, גודל האוכלוסייה ומשתנה הדמי של נתמכת/לא נתמכת. לאחר הוספת ההכנסות העצמיות רק שני משתנים משפיעים על הוצאה לתושב על תרבות באופן מובהק – ההכנסה העצמית ומשתנה הדמי נתמכת/לא נתמכת. רשויות נתמכות מוציאות פחות מרשויות לא נתמכות על תרבות ורשויות עם יותר הכנסות עצמיות מוציאות יותר על תרבות. התוצאה הזאת מושפעת בחלקה מהעובדה שחלק מתתי השירותים תחת שירותי תרבות אכן מסובסדים ע"י המדינה, אך מצד שני, מדובר על סיבסוד נמוך ביחס ליכולת של רשויות עם כסף לייצר שירות ברמת תיקצוב גבוהה יותר. אם זאת, שני המשתנים הללו מסבירים "רק" 27.4% מהשונות של המשתנה התלוי (R2 המתוקן שווה ל-0.274) ולכן עדיין חסרים פרמטרים נוספים, או שלחילופין המודל הלינארי פחות מתאים לתיאור הוצאה זאת.
- פיקוח עירוני – שירותי פיקוח עירונים מושפעים באופן מובהק מגודל האוכלוסייה והכנסותיה העצמיות של הרשות. מאפיין מעניין של משוואת הרגרסיה של שירות זה הוא העובדה שהקבוע שלו מובהק ושלילי. אם זאת, היות והערכים של לוג האוכלוסייה נעים בין 3 ל-5, תוצאת המשוואה הלינארית מתחילה לרוב מ-0 כאשר הגורם הדומיננטי בשירות זה הוא הכנסה העצמית לתושב – ככל שזו גדלה, כך ההוצאה על שירות זה גדלה. יש לציין כי הקשר הלינארי מסביר רק 32.4% מהשונות של ההוצאה ולכן מדובר על תוצאה שיש לקחת מערבון מוגבל (חסרים משתנים או שהקשר אינו לינארי). מהיכרותי עם השירות המדובר, הוא מושפע לא מעט מאכיפת חניה וחוקי עזר עירוניים – שירותים שעוצמת הפעלתם ברשויות משתנה מעט.
- בטחון – שירותי בטחון מושפעים באופן מובהק מהאשכול הסוציואקונומי, שינוי באחוזים של גודל האוכלוסייה ומהכנסות עצמיות. אם נתחיל מהסוף, שלושת הפרמטרים הללו מסבירים רק 27.4% מהשונות של ההוצאה לתושב. הסיבה לכך נובעת, בין היתר, מכך שיש רשויות שבהן מופעלים שירותי בטחון הממומנים ע"י אגרת שמירה, אך אין בניתוח הבחנה בין הרשויות שיש בהן אגרת שמירה ואלה שאין בהן. כמו כן, שירות זה כולל הוצאה על שירותי חירום ולא כל הרשויות מטפלות בסוגיה באותה איכות (סוגיה שגם מקבלת את תשומת ליבו של משרד הפנים במסגרת המדדים השנתיים שלו). אם זאת, ניתן לראות כי רשויות יותר עשירות בהן גרה אוכלוסייה יותר עשירה מוציאים יותר על שירות זה – ברשויות עם אוכלוסייה יותר עשירה יש נטייה להקים שירות כזה וגם לגבות עליו כסף. מצד שני, ככל שהשינוי בגודל הרשות גדול יותר (באחוזים) כך ההוצאה על השירות קטנה, התנהגות שניתן להסביר בכך שלשירות זה יש יעילות הנובעת מיתרון לגודל.
סיכום (לא סופי)
הניתוח שביצעתי על השפעת ההכנסות העצמיות על שירותים עירוניים מראה שמדובר על פרמטר חשוב עם השפעה מובהקת וחיובית על ההוצאה על שירותים אלה – ככל שיש לרשות יותר כסף, כך סביר שההוצאה על שירותים עירוניים תהיה יותר גדולה. התוצאה הזאת נשמעת כביכול ברורה מעליה – רק שיש מעט מאד מחקרים שלוקחים בחשבון את העושר של הרשות כחלק מהפרמטרים שמשפיעים על ההוצאות שלה, במיוחד כאשר בוחנים האם ההוצאות האלה יעילות.
בשלב זה של הרשות (אחרי מעל 1,500 מילים) אני אעצור, אבל אציין היבטים נוספים שצריכים לבדוק:
- האם להכנסות עצמיות יש השפעה על עצם קיומם של חלק מהשירותים?
- האם הכנסות עצמיות והוצאות על שירותים עירוניים הן אנדוגניות (עם השפעה הדדית)?
- האם יש להכנסות עצמיות אינטראקציה עם משתנים בלתי תלויים אחרים (העצמה הדדית או "דיכוי" הדדי)?
- מהו המודל הנכון ביותר לבחינת ההשפעה של המשתנים הבלתי תלויים (לינארי, אחר)?
- פרמטרים נוספים שיש לשקול במקרה של שירותים בהם השונות המוסברת נמוכה
כל הניתוחים בוצעו על נתוני הרשויות המקומיות לשנת 2017 בעזרת תוכנת R. כאשר אני אסיים את הניתוחים הקוד ישוחרר לציבור הרחב.
יוגב , שלום
המאמר שלך מעניין כתמיד , אם כי אני מודה שהחלק של הנוסחאות היה קשה לי.
אותי מעסיקה שנים רבות השאלה , כמה שווה למדינת ישראל העתקת משפחה מאזורי הביקוש לפריפריה.האם לפרפריה יש ערך כלכלי ניתן לכימות ?
האם למגורי יותר משפחות מבוססות בפריפריה יש ערך מוסף כלכלי? אם לא , מדוע לקיים אותה בכלל?
תאמר צורך בטחוני , אידאולוגי , דמוגרפי או אחר. כל צורך ניתן לתמחור שאותו על המדינה לתרגם לתמיכה כספית מוצהרת או העמדת כלים שווי ערך , כדי לספק איכות חייים נאותה כמו באזורי הביקוש למי שבוחר לגור בפריפריה ולא משנה אם מברירה או מחסר ברירה. כיום איכות החיים הזו נמוכה משמעותית מהקיימת באזורי הביקוש למעט בישובים קטנים שאינם עירוניים.
חלק מההוכחה לכך הוא בעבודת המחקר שאתה עורך.
בהצלחה
איל רותם
שלום איל,
ראשית, לדעתי המדינה לא צריכה להיות בכלל צד בהעתקת משפחות מאזורי ביקוש לפריפריה. ברוב העולם זה קורה באופן טבעי מתוך בחירה של אנשים ללכת למקומות יותר זולים, לנסות את מזלם אחרי שלא הצליחו במקומות אחרים, לעסוק במקצועות יותר פשוטים (חקלאות, תיירות) או פשוט לחיות בסביבה יותר נינוחה. בישראל, לעומת זאת, יש העתקה של אוכלוסיות לפריפריה כחלק מאג'נדה פוליטית ואידאולוגיה ולכן, לדעתי, הפריפריה בישראל גדולה מדי מבחינת היקף תושבים ובטח מבחינת הפיזור של האוכלוסייה. אבל את העבר אי אפשר לשנות והוא נקודת המוצא לקביעת מדיניות לעתיד (למשל, לא להקים יותר ישובים חדשים).
תושב פריפריה הוא תושב מסובסד, מנקודת מבט כלכלית למדינה צריכה להיות מוטיבציה לצמצם את כמות האוכלוסייה בפריפריה או לפחות לייעל את הפיזור שלה בפריפריה כך שיהיו בה ישובים יותר גדולים – שם הסבסוד נמוך ולעיתים גם לא קיים (למשל עפולה וכרמיאל שכמעט ולא רואות מענקי איזון). עלות נוספת של הפריפריה היא עלות התשתיות שצריך למתוח לאורך הפריפריה – וככל שיש יותר תושבים שמפוזרים בפריפריה, כך צריך למתוח יותר תשתיות (ולתחזק אותם), לא פעם ביחס עלות תועלת נמוך משמעותית מזה שקיים במרכז (מבחינת כמות משתמשים). למשל, מנקודת מבט כלכלית אין סיבה שיהיו כבישים עם 4 נתיבים עד קריית שמונה על 25,000~ התושבים שלה או 10,000~ התושבים שגרים מסביב ומתנקזים לכביש 90. ברוב הרשויות המרכז אין כבישים מהסוג הזה בתוכן ומה שקיים מכיל היטב את הביקושים לנסועה.
איכות חיים נאותה זה כבר שאלה מאד סוביקטיבית שגם תלויה במעמד שלך – הדרישות של אנשים מאשכול סוציואקונומי גבוה גבוהות משל אנשים בסוציואקונומי נמוך, מה גם שיש הבדלים מהותיים בין יהודים חילוניים/דתיים, חרדים וערבים בנוגע למהו איכות חיים. צריך לקיים סל מסויים שמספק שירותים טובים – ניקיון, תחזוקת תשתיות, נגישות של שירותים ציבוריים (חינוך, רווחה). חלק מהשירותים האלה נהנים מיתרון לגודל וחלקם לא.
ויש גם את עניין התשלום על הבחירה – תשלום שלא קיים בפריפריה – אנשים בוחרים לגור בפריפריה אבל לא משלמים באמת את המחיר של המגורים שם (במיוחד בארץ). אני גר בישוב שבו התושבים משלמים את המחיר על היותו קטן ובעל חסרון לקוטן – וזה יקר יותר מלגור במרכז. ברוב הפריפריה לא משלמים את המחיר הזה ויש סיכוי שאם אנשים בפריפריה היו צריכים לשלם את המחיר הזה, הם לא היו בוחרים לגור בה
עבודת המחקר שלי אמורה להצביע בסופו של דבר מה צריך להיות ערכו של סל השירותים שרשויות צריכות לתת (הערך המינימלי) – אולי אפילו להצביע על נוסחת איזון יותר נכונה. אבל זה לא משנה את העובדה שאם התושבים היו צריכים לשלם את המחיר הזה ולא המדינה (שזה בעצם התושבים שמשלמים מיסים), לא בטוח שהם היו בוחרים לגור שם.
פינגבק: בולעני הכסף | המדד המוניציפלי
פינגבק: לתקן את נוסחת מענקי האיזון בפחות מ-1,500 מילים | המדד המוניציפלי
פינגבק: כלכלה של רשויות אזוריות | המדד המוניציפלי